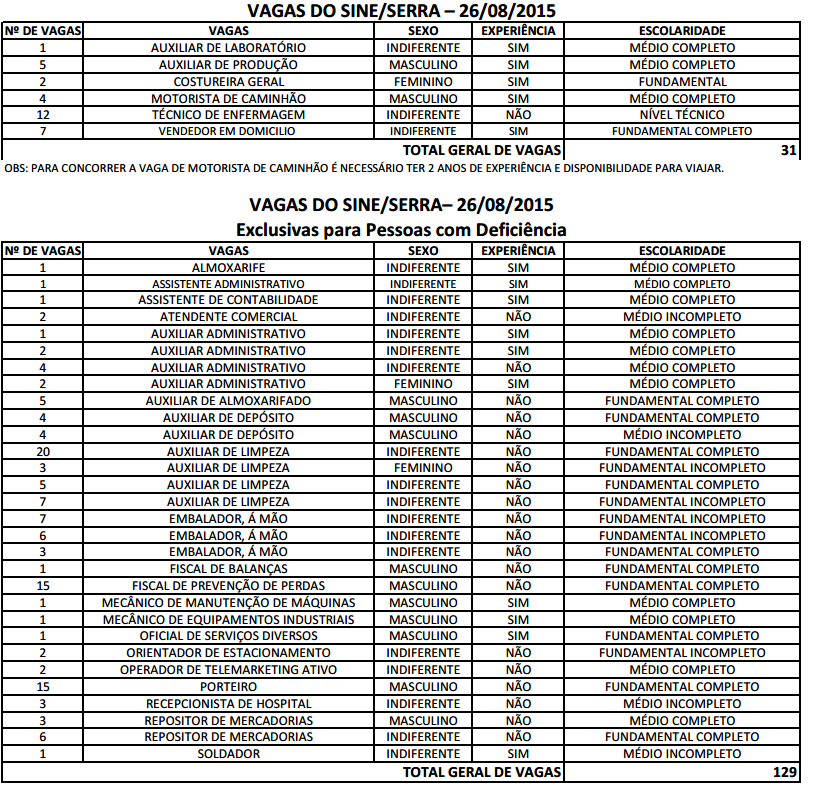
O Sine da Serra está oferecendo 160 vagas de emprego nesta quarta-feira (26), sendo 129 oportunidades destinadas a pessoas com deficiência (PCD). Entre essas chances, há oportunidades para auxiliar de limpeza (32), auxiliar de produção (20), fiscal de prevenção de perdas (15) e outras profissões.
Caso o candidato preencha todos os requisitos exigidos, receberá uma carta de encaminhamento para que seja entrevistado pela empresa, que é a responsável pela seleção. As vagas detalhadas estão no anexo.
Para concorrer, o interessado deve comparecer ao Sine, localizado no Pró-Cidadão, em Portal de Jacaraípe, levando Carteira de Trabalho, CPF, RG e comprovante de residência. A seleção ocorre por meio de cadastro dos profissionais que buscam uma oportunidade no mercado de trabalho.
Sine da Serra
Leia também
Endereço: Pró-Cidadão, Avenida Talma Rodrigues Ribeiro, nº 5416, em Portal de Jacaraípe (antigo Shopping Norte).
Horário de Funcionamento: de segunda a sexta-feira, das 08 às 17 horas.
Para tirar qualquer dúvida, ligue para: 3252-7404 / 3252 -7406 / 3252- 7420.
Confira todas as vagas disponíveis:
